直线趋势法
1.直线趋势法概述
直线趋势法又称直线趋势预测法、线性趋势预测法,是对观察期的时间序列资料表现为接近于一条直线,表现为近似直线的上升和下降时采用的一种预测方法。关键是求得趋势直线,以利用趋势直线的延伸求得预测值。
直线趋势法是假设所要预测的变量与时间之间成线性函数关系,并以此为基础预测未来。因此,用这种方法时,应先计算相关系数,以判别变量与时间之间是否基本上存在线性联系。只有存在线性联系时,才能采用这种方法进行预测。
2.趋势直线的计算公式
求趋势直线的方程式是:
Yt=a+bx
式中:x--自变量,是选定的任何x值;
Yt--因变量,对于选定的x值,相应变数Y的平均估计值,即第t预测周期的预测值;
a、b--未知参数
3.直线趋势法的计算步骤
计算步骤:
1.根据一致的数据,计算相关系数r。
相关系数r是一个在0和正负1之间的系数。相关系数等于0,表示变量间不存在直线相关关系; 如为±0.2或±0.3左右,表示低度相关;若为±0.6左右,为中度相关;若为±0.8以上,为高度相关;相关系数等于±1,为完全相关。相关系数是正数,为正相关;相关系数是负数,为负相关。
若r接近1,则可用一条直线y=a+bx 来描述预测变量随时间的变动趋势;
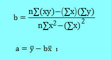
2.根据历史数据,利用一元回归法求出a、b值
3.利用求得的直线方程,其可预测未来期间(x)的预测变量(y)的值。
4.直线趋势法的实施步骤
直线趋势法的步骤为:
1.利用已知数据绘图,确定直线趋势。
2.求变动趋势直线。可以用直观法,也可以用最小二乘法。
3.利用变动趋势直线的延伸,确定预测值。
评论 | 0条评论
评论
