登录

调和平均数指数

百科 > 调和平均数指数

1.什么是调和平均数指数

总指数是指反映现象总体的各个事物所构成的整个总体数量对比关系的相对数。它综合反映不能同度量的多种事物动态变化的程度和方向。调和平均数指数是将个体指数调和平均数ar{x}=frac{sum m}{sumfrac{m}{x}})形式加权平均计算的总指数

在计算质量指标指数时(如商品价格指数),如果直接采用质量指标指数公式计算,必须掌握各种商品的销售量和价格资料,才能计算出sum p_1q_1sum p_0q_1的值。在实际工作中,如果只有各种商品价格的个体指数和报告期商品流转额的资料时,就用报告期各种商品的流转额作为权数,采用加权调和平均数的方法来技术得到综合指数,就叫做加权调和平均数指数。已知:

k_p=frac{p_1}{p_0}sum p_0q_1资料,代入综合物价指数公式得:

ar{k}_p=frac{sum p_1q_1}{p_0q_1}=frac{sum p_1q_1}{sumfrac{1}{k_p}p_1q_1}


以上计算公式是以个体指数(kp)为变量(x),以报告期销售额(p1q1)为权数(m) 的物价个体指数的加权调和平均数(ar{k}_p=frac{sum p_1q_1}{sum frac{1}{k_p}p_1q_1})。从推导过程来看它是质量指标综合指数的变形。

2.调和平均数指数计算举例

例:根据表1三种商品销售量资料和价格资料计算商品销售量总指数。

商品名称计量单位销售量价格(元)销售额(元)
基期q0报告期q1基期p0报告期p1q0p0q1p1q1p0




千克
1000
2000
3000
1150
2200
3150
100
50
20
100
55
25
100000
100000
60000
115000
121000
78750
115000
110000
63000
合计260000314750288000

以下表的商品销售量指数的计算为例,其具体情况见下表(调和平均数指数计算表):

商品计量单位价格个体
指数kq(%)
报告期销售额
(万元)p1q1
按基期价格计算

的销售额(万元)p0q1





千克
100
110
125
11500
12100
7875
11500
11000
6300
合计3147528800

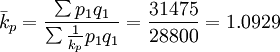
根据表中资料代入价权调和平均数指数计算公式得:

ar{k}_p=frac{sum p_1q_1}{sumfrac{1}{k_p}p_1q_1}=frac{31475}{28800}=1.0929或109.29%

sum p_1q_1-sumfrac{1}{k_p}p_1q_1=31475-28800=2675(万元)

计算结果及经济意义与采用综合指数的计算完全相同。这就表明:加权调和平均数指数实际上就是综合指数的变形。两者虽然形式不同,但结果和经济内容是一致的。

评论  |   0条评论