组合
目录
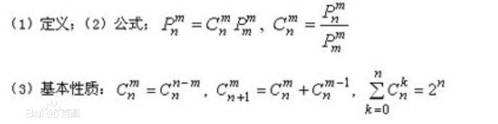
1.定义
一般地,从m个不同的元素中,任取n(n≤m)个元素为一组,叫作从m个不同元素中取出n个元素的一个组合。

我们把有关求组合的个数的问题叫作组合问题。其所有不同组合的种数用符号
表示,
=m(m-1)(m-2)…(m-n +1)/n!=m!/(n!(m-n)!)。此外,规定C01一=1。
=
.
评论 | 0条评论
评论
一般地,从m个不同的元素中,任取n(n≤m)个元素为一组,叫作从m个不同元素中取出n个元素的一个组合。

我们把有关求组合的个数的问题叫作组合问题。其所有不同组合的种数用符号
表示,
=m(m-1)(m-2)…(m-n +1)/n!=m!/(n!(m-n)!)。此外,规定C01一=1。
=
.