平均收益率
1.什么是平均收益率

项目投资的平均收益率又称平均会计利润率(Average Accounting Rate of Rerurn)是指投资项目年平均净收益与该项目平均投资额的比率。
股票的平均收益率是指总收益率除以股票个数.
基金的平均收益率是将基金每月收益率的平均值年度化后的统计值,并用于计算基金回报的标准差。平均收益率并不完全等同于基金三年年度化收益率。
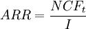
2.平均收益率的计算公式

式中,NCFt表示平均净现金流量,这是在增量分析基础上求出的数据,即它等于会计账面上的税后利润增加量加上折旧的增加量。
在采用平均收益率法评价投资方案时,一般决策规则是采纳平均收益率最高的方案。因为很显然,平均收益率越高,说明经济效益越好。
3.平均收益率法的缺陷
平均收益率法的优点是简明易懂,计算简单方便。其主要缺点是没有考虑货币的时间价值。它通常把各年的利润或现金流量视作具有相同价值,这可能导致作出错误的决策。
评论 | 0条评论
评论
