套利定价理论
目录
1.套利定价理论概述
套利定价理论APT(Arbitrage Pricing Theory) 是CAPM的拓广,由APT给出的定价模型与CAPM一样,都是均衡状态下的模型,不同的是APT的基础是因素模型。
套利定价理论认为,套利行为是现代有效率市场(即市场均衡价格)形成的一个决定因素。如果市场未达到均衡状态的话,市场上就会存在无风险套利机会. 并且用多个因素来解释风险资产收益,并根据无套利原则,得到风险资产均衡收益与多个因素之间存在(近似的)线性关系. 而前面的CAPM模型预测所有证券的收益率都与唯一的公共因子(市场证券组合)的收益率存在着线性关系。
2.套利定价理论的意义
套利定价理论导出了与资本资产定价模型相似的一种市场关系。套利定价理论以收益率形成过程的多因子模型为基础,认为证券收益率与一组因子线性相关,这组因子代表证券收益率的一些基本因素。事实上,当收益率通过单一因子(市场组合)形成时,将会发现套利定价理论形成了一种与资本资产定价模型相同的关系。因此,套利定价理论可以被认为是一种广义的资本资产定价模型,为投资者提供了一种替代性的方法,来理解市场中的风险与收益率间的均衡关系。套利定价理论与现代资产组合理论、资本资产定价模型、期权定价模型等一起构成了现代金融学的理论基础。
3.套利定价理论的基本机制
套利定价理论的基本机制是:在给定资产收益率计算公式的条件下,根据套利原理推导出资产的价格和均衡关系式。APT作为描述资本资产价格形成机制的一种新方法,其基础是价格规律:在均衡市场上,两种性质相同的商品不能以不同的价格出售。套利定价理论是一种均衡模型,用来研究证券价格是如何决定的。它假设证券的收益是由一系列产业方面和市场方面的因素确定的。当两种证券的收益受到某种或某些因素的影响时,两种证券收益之间就存在相关性。
4.套利定价理论的模型[1]
一、因素模型(factor models)
套利定价理论的出发点是假设证券的回报率与未知数量的未知因素相联系。
因素模型是一种统计模型。套利定价理论是利用因素模型来描述资产价格的决定因素和均衡价格的形成机理的。这在套利定价理论的假设条件和套利定价理论中都清楚的体现出来。
线性多因素模型的一般表达为:
(1)
或
r = a + B * F + ε (2)
其中:

代表N种资产收益率组成的列向量.
代表K种因素组成的列向量
是常数组成列向量
是因素j对风险资产收益率的影响程度,称为灵敏度(sensitivity)/因素负荷(factor loading). 组成灵敏度矩阵.
是随机误差列组成的列向量.
并要求:
(3)
定义:对于一个有N个资产,K种因素的市场,如果存在一个证券组合
,使得该证券组合对某个因素有着单位灵敏度,而对其他因素有着零灵敏度. 那么该证券组合被称为纯因素证券组合.
该组合对于的总收益率:
(4)
构造纯因素证券组合时,不妨设第一个因素为纯因素,于是构造转换成解线性方程:
(5)
进而:
(6)
其中:rf是无风险收益率,λ每单位灵敏度的某因素的预期收益溢价.
由式(5)可见纯因素证券组合不只一种,那么这些不同的证券组合,是否会产生同样的期望收益呢?答案是肯定的,这就涉及到无套利均衡。
二、无套利均衡(no arbitrage equilibrium)
套利和无套利是现代金融的最基本的概念之一.
定义: 套利机会(Arbitrage Opportunity)
存在一个交易策略

,满足以下4个条件:
1)不需要任何投入,自我融资(self-financing)
lTwA = 0 (7)
2)对所有因素风险完全免疫
BTwA = 0 (8)
3)对所有非因素风险完全免疫
(9)
4)当资产数目足够多时,期末可以获得无风险收益

(10)
无套利原理:在市场均衡时刻,不存在任何套利机会.
无套利原理已经成为了现代金融学的基本假设,今后的微观金融学笔记将会反复讨论这个概念
5.套利定价理论假设[1]
假设一:无摩擦的市场.
假设二:无操纵市场.
假设三: 无制度限制.
这些关于理想化资本市场的三个假定与资本资产定价模型中的要求是一致的.
假设四: 资产收益由因素模型决定.
假设五: 同质预期
假设六: 市场上存在无风险资产
假设七: 满足无套利原理
定理:(套利定价)假定风险资产收益满足上面的因素模型,并且不存在套利机会.则存在使得下式成立:
(11)
(12)
这里就不给具体证明,后面的笔记中将会提及更一般的资本资产定价理论.
证明思路:
试图构造一个套利组合
.该组合自然首先要满足:
式(7),式(8),式(9)
再考虑式(10)对应的逆命题对应(就是无套利原理):

即
(13)
如果式(7),式(8),式(13)同时成立,表明当
时:
l(列向量),B(K个列向量),a(列向量)都和wA正交.
根据线性代数里的结论我们知道:
a可以表示为[1 B]这(K+1)个列向量的线性组合.
即,当
时,存在
:
(14)
6.套利定价理论的检验[2]
- 1.罗尔(Roll)和罗斯的实证研究
与资本资产定价模型一样,套利定价理论也面临着实证检验的问题。Gehr(1975)、Roll and Ross(1980)、Reinganum(1981)以及Chen(1983)用纽约证券交易所和美国证券交易所上市股票的Et回报率数据对APT进行了检验,他们的检验步骤大致如下:
(1)首先对所有股票进行分组。
(2)收集一组股票的日回报率数据,并根据每只股票的回报率计算出该组股票的方差和协方差矩阵。
(3)运用最大似然因子分析法,确定影响收益率变化的因子个数以及因子载荷bij。
(4)用估计出的bij来解释不同股票期望收益率在横截面上的差异,进而估计出每个因子相应的风险溢价及其显著性。
(5)对每一组股票重复2~4步。
以Roll and Ross(1980)为例,该文利用1962年7月3日至1972年12月31日在NYSE和AMEX上市的1 260只股票的收益率数据对APT进行了检验。他们首先将这1 260只股票按照字母顺序进行分组,每组包括30只股票,然后针对每一组分别运行上述4个步骤。该文的分析结果表明,至少有三个因子的风险溢价显著不等于零,这说明确实存在着影响所有资产收益率变化的不同因素。在APT的检验过程中,我们还要关注另一个参数——截距项λ0。根据APT,λ0应该等于无风险利率,当我们分别对每一组股票进行估计的时候,该指标应该是相等的。罗尔和罗斯的研究发现,在全部42组资产组合中,有38组没有迹象表明k之间存在差异,这与APT的预测是吻合的。因此,从以上两个结论上看,我们没有理由拒绝套利定价理论。
然而,用因子分析法检验APT时存在一个缺点,那就是该方法无法告诉我们具体的因子是什么。这样一来,如果其他一些非系统性风险因素,如单个股票收益率的方差、公司规模以及资产上一期的收益率能够显著地解释资产的期望回报率,我们同样无法拒绝APT。为了防止这种偏差的出现,Roll and Ross(1980)进一步考察了股票收益率的方差对估计出的期望收益率的解释能力,结果发现,加入方差后对期望收益率的解释能力没有任何增加。与此同时,Chen(1983)运用了与Roll and Ross(1980)不同的方法也得出了相同的结论,而且该文还发现,资产上一期的回报率对本期的期望回报率也没有显著的解释能力。但是,对于公司规模指标,大家的结论并不一致。按照APT的预测,如果因子载荷在时间维度上是平稳的,那么按照市值对上市公司进行分组后,不同组的超额收益率应该有相同的均值。然而,Reinganum(1981)却发现不同组间的超额收益率存在显著差异。这表明APT检验中得到的风险溢价不等于零的因子可能是由公司规模造成的,因而APT就有可能被拒绝。然而,Chen(1983)的研究却发现,公司规模的引入并没有增加模型对期望回报率的解释能力。
虽然从数学上很难通过因子分析去识别影响证券收益的背后因素,但Chen、Roll and Ross(1983)却给出了一组能够广泛反映宏观经济的因素。这些因素包括行业产出指数、非预期通货膨胀、违约风险溢价的变化(用AAA级公司债券与BBB级公司债券到期收益率的差值衡量)、利率期限结构的意外变化(用长期政府债券和短期政府债券的到期收益率的差值衡量)。这样一来,我们就可以得出证券收益四因素模型:- 2.法马和弗伦奇的三因素模型
在资本资产定价模型和套利定价模型诞生之后,学者逐渐发现公司自身的一些特征对股票的收益率具有一定的解释能力。这些特征除了前面所说的公司规模之外,还有公司现金流量与股价比、账面价值与股价比、企业的销售收人增长率等。这些因素与公司承担的系统性风险并没有直接的关系,因此,它们对股价的解释能力在很大程度上是对资本资产定价模型以及套利定价理论的一种违背。对此,法马和弗伦奇在1992—1996年间用了一系列的文章来解释这一现象。
Fama and French(1992)考察了β值、公司规模、市盈率、负债率、账面市值比五个因素对股票收益率的影响,结果发现如下两个结论:①无论是对β值进行单独回归还是与其他因素一起进行联合回归,β值对平均收益的影响都很小。②用β值之外的四个因素对收益率进行单变量回归,结果发现四个因素对收益率的影响都是显著的。但是,当四个因素一起放人模型时,公司规模和账面市值比几乎完全覆盖了市盈率和负债率的影响。随后,在1993年,法马和弗伦奇进一步发现,市场超额收益率、公司规模以及账面市值比三个因素对股票收益有较为显著的影响。
1996年,法马和弗伦奇再次合作发表了《资产定价异象的多因素解释》。在这篇文章中,两人认为许多所谓资产定价的异常现象都是相互联系的,它们绝大多数都能在Fama and French(1993)三因素模型的框架下得到解释。该文指出,一个资产组合的风险溢价E(ri)—rf可以用三个因素来解释:
(1)市场组合的风险溢价E(rM)—rf。
(2)小市值股票组合与大市值股票组合回报率之差SMB。
(3)高账面市值比的组合与低账面市值比的组合的回报率之差HML,即该文认为,HML可以表示一个公司危机的相对严重程度。那些长期维持低收入的弱小公司的HML相对较大,而且HML的斜率为正;那些长期维持高收入的大公司的HML相对较小,HML的斜率为负。相应地,小公司股票的收益有一部分没有被市场所解释,因此会有一部分额外的收益来给予补偿。
法马和弗伦奇认为,上面的三因素模型是好的,可以解释因公司规模、账面市值比不同而产生的收益率差异。但他们也承认,该模型存在一定的缺陷,市场中的某些异常现象还无法完全用这一模型解释。
7.套利定价理论与资本资产定价模型
套利定价理论与资本资产定价模型的异同点
1976年,美国学者斯蒂芬·罗斯在《经济理论杂志》上发表了经典论文“资本资产定价的套利理论”,提出了一种新的资产定价模型,此即套利定价理论(APT理论)。套利定价理论用套利概念定义均衡,不需要市场组合的存在性,而且所需的假设比资本资产定价模型(CAPM模型)更少、更合理。
与资本资产定价模型一样,套利定价理论假设:
1.投资者有相同的投资理念;
2.投资者是回避风险的,并且要效用最大化;
3.市场是完全的。
与资本资产定价模型不同的是,套利定价理论没有以下假设:[3]
1.单一投资期;
2.不存在税收;
3.投资者能以无风险利率自由借贷;
4.投资者以收益率的均值和方差为基础选择投资组合。
套利定价理论与资本资产定价模型的联系[4]
(1)二者都假定了资本市场上不存在交易成本或交易税,或者都认为如果存在交易成本、交易税,则其对所有的投资者而言都是相同的。
(2)二者都将存在的风险划分为系统性风险和非系统性风险,也就是市场风险和公司自身的风险。而且两种模型都认为通过投资的多元化组合,通过投资者的合理优化投资结构,能够大部分甚至完全消除公司自身存在的风险。因此,在计算投资组合的预期回报时,两种模型的数学表达式都认为资本市场不会由于投资者承担了这部分风险而给予他们补偿,因而不列入计算式中。
(3)资本资产定价理论可以看做是套利定价理论在更严格假设条件下的特例。
套利定价理论与资本资产定价模型的作用[5]
CAPM和APT的提出对全世界的金融理论研究和实践均产生了巨大的影响,其主要表现有:
①大多数机构投资者都按照预期收益率-β系数的关系(或者单位风险报酬)来评价其投资业绩;
②大多数国家的监管当局在确定被监管对象的资本成本时,都把预期收益率-β系数的关系连同对市场指数收益率的预测作为一个重要因素;
③法院在衡量未来收入损失的赔偿金额时也经常使用预期收益率-β系数的关系来确定贴现率;
④很多企业在进行资本预算决策时也使用预期收益率-β系数的关系来确定最低要求收益率。由此可以知道,将两者结合起来能比单纯的APT做出更精确的预测,又能比CAPM做出更广泛的分析,从而为投资决策提出更充分的指导。
8.套利定价理论的应用分析
分析一:套利定价理论在证券中的应用[6]
假设有三种证券,它们都服从单因素模型,因素是F。它们的期望收益率
和关于因素F 的敏感度bi 都列在表中:投资者总资产是1500 万元,三种证券的组合p

即每一种证券都投资500 万元。这一组合未必是一个最优的组合。
| 证券i | ![]() | bi |
| 1 | 15 % | 0.9 |
| 2 | 21 % | 3.0 |
| 3 | 12 % | 1.8 |
现在,投资者对上述组合p 作改变,记Δxi 是投资于证券si的比例的改变量,亦即改变后的组合是:

并且Δx1 , Δx2 , Δx3必须满足下列要求,亦即满足下列套利原理:
(1) Δx1 + Δx2 + Δx3 = 0 ,这表示投资者总投资额不变,既没有增加投资的总资金,也没有从原有投资总额中抽回部分资金。
(2) b1Δx1 + b2Δx2 + b3Δx3 = 0 ,这表示改变后的组合P′的因素风险不变,它与组合p 的因素风险相同。
(3)
,这表示由于这一改变会增加期望收益率,或者说改变后的组合p′的期望收益率
高于原来的期望收益率
,我们称上述组合(Δx1,Δx2,Δx3) 是套利组合,投资者能够利用这一组合进行套利。
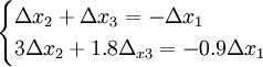
由上面的(1) 和(2) ,需要解一个齐次方程组:

将左端含有Δx1的项移到右端:

将Δx1 看作参数,解上述非齐次方程组得:


由此我们便得到下面的结论:若取Δx1 > 0 ,那么Δx2 > 0 ,Δx3 < 0 ,这表明必须减少对证券3 的投资,增加对证券1 和证券2 的投资。再由(3) , Δx1,Δx2,Δx3还须满足:

= 9.75Δx1 > 0
很显然Δx1 必须大于0 ,这表示改变后的组合可多获得的期望收益率为9.75%Δx1,在不允许卖空证券的情形下,减少证券3 的投资,至多减少投资于证券3 的比例是0 ,这样我们又得到一个不等式:

即:

综上所述, 
时增加的期望收益率最大,这时套利组合
,
增加的期望收益率是:
9.75Δx1% = 1.86%
此结果表示,投资者如果改变原来的组合
,
改变的量是套利组合(
),
改变后的组合是
,亦即改变后投资于证券1 和证券2的资金分别是:
(万元)
(万元)
投资于证券3 的资金为0 ,这样做的结果比原先的组合p 增加期望收益率1.86 % ,而因素风险不变,投资者套利成功。
在一个均衡的市场中套利现象不会发生,套利组合成为(0 ,0 ,0) ,或者套利一旦发生将会迅速消失,最后各个证券将在市场中找到自己的合适位置,在市场调节下,它的期望收益率既不会过高也不会过低,满足一个均衡状态下的方程式:

式中,rf是无风险利率,λ是因素F 的单位风险溢酬。该方程即是APT定价模型。

