参与约束
1.什么是参与约束[1]
参与约束是指代理人接受合同下的期望收益(效用)要大于其他市场机会下能获得的最大期望收益(该收益可称为保留效用)。
2.参与约束的不成立[2]
参与约束不成立这种情况可以描述为:代理人(或者工程师)对是否接受委托人(或者业主)合同没有选择自由,而是必须接受。这时仅仅考虑业主对工程师的激励,允许工程师最大化自己的效用。也可以说把这种情况理解为业主垄断了建筑市场,目前我国建筑市场是买方市场,就有这方面的特质。
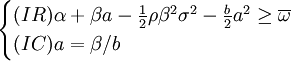
委托—代理模型如下:
公式一:maxα,β,aEv = − α + (1 − β)a
公式二:s.t.=
将上述公式进行一系列的变形得到:
公式三:
对公式三中的α求导并令之为0,得
公式四:α2=1/2
将公式四代入公式二,可得
a = 1/2b
将公式四代入公式三,得
Ev2 = − α+ 1/4b
可以看出,业主给付工程师的最优产出分享β为0.5,工程师的最优努力a以及业主的最大期望收益都与工程师工作努力的成本系数b有关。成本系数b越大,工程师努力水平越低,业主的期望收益越小,当b≥1/4a时,业主的收益会出现为0甚至为负的情况。
评论 | 0条评论
评论
